英文名 p-SCN-Bn-TCMC
CAS号 2780352-89-6
分子量 547.68
密度 1.38±0.1 g/cm3(Temp: 20 °C; Press: 760 Torr)(Predicted)
沸点 882.6±65.0 °C(Predicted)
分子式 C24H37N9O4S
熔点 N/A

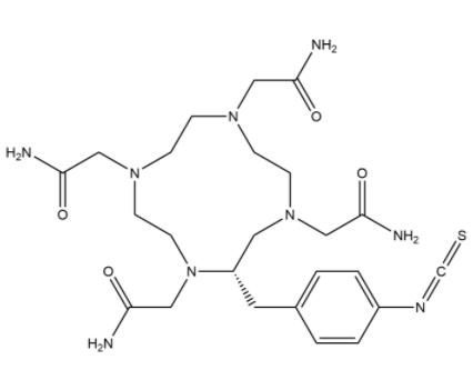
化学结构与性质
p-SCN-Bn-TCMC 的核心为 TCMC(1,4,7,10-四氮环-1,4,7,10-四乙酰胺),由四个氮原子和四个羧酰胺基团构成,具有强烈的多齿金属螯合能力。通过在苯环的对位引入异硫氰基(–SCN)官能团,分子获得了可与氨基化合物形成共价结合的能力,实现稳定的硫脲键偶联。
大分子成分成分大多数为黄白色至淡淡的黄色色膏状粉化,兼备顺畅的普通机械不稳性。其溶解出来性顺畅,可不溶水、保护液及电性充分容剂如 DMSO 或 DMF。在碱式盐或弱碱的条件下,大分子成分成分成分不稳;而在强氧化剂或强酸强碱环保中,异硫氰基可能电离,得以降底共价偶联几丁质酶。TCMC 核的羧酰胺基团给出顺畅的金屬螯合功能,使大分子成分成分在水氢氧化钠溶液保障体系中始终保持相对高度不稳性。
金属螯合能力与功能特点
p-SCN-Bn-TCMC 的 TCMC 核能够与多种金属离子形成高度稳定的复合物,包括镧系金属、铜、锌、镍等。形成的金属复合物具有很高的热力学稳定性和低解离速率,即使在水溶液体系或功能化材料中也能长期保持结构完整性。
异硫氰苯基官能团具备了共价偶联位点,可与肽链、核苷酸质、整合物或一些含氨基的单质形成了固定不变的硫脲键。融入 TCMC 核的黑色黑色金属螯合效率,此种双基本职能设定保证 了催化工作平台的多基本职能性:既可固定不变黑色黑色金属阴离子,又能对原子或文件通过基本职能化淡化。采用行业废塑料螯合与配位化学物质探析:TCMC 核带来多齿配位区域环境,能作于探析多价废塑料化合物的供热学安稳性和推热学功能。技能化碳原子建设:异硫氰苯基可与肽链、血清质或配位高聚物共价偶联,构建多技能化碳原子服务平台。建材实用的功能化与外壁绘制语:可以选择于纳米级颗粒物、缔合物或固态物平台外壁绘制语,一并固定不动金属制化合物或接入电学判别实用的功能。氧碳原子测试探针与介绍网络装修标准:巧用塑料螯合和物理偶联的效果,可融合中用氧碳原子认别、卫星信号肌肉收缩及介绍监测的的效果化网络装修标准。耐腐蚀掩盖与偶联深入分析:异硫氰基可与氨基单质养成平稳硫脲键,采用和好氧分子或标上模式的营造。更多我们都:绵阳pg电子娱乐游戏app
微生物技术自动化有效制的大单位一家长期从事原科药、MOF,铁离子透明液体 ,PEG衍化物技术、科学研究生化试剂、多肽、光电现代现代科技板材、碳nm管、nm板材、脂质体、镶嵌图片磷脂的制造制造、定制开发镶嵌图片、制造和销售量的高自动化微生物技术自动化有效制的大单位涉及网友推荐:Cyanine5.5 azide,1557136-25-059156-70-6,Di(N-succinimidyl)adipate247069-94-9,BODIPY aminoacetaldehyde1392437-61-4,DSPE-Alkyne118162-45-1,N3-C10-COOH2934658-26-9,IC-MethylTetrazine1450754-41-2,Alkyne-Diazirine-OH2777084-88-3,Sulfo-NHS-LC-Desthiobiotin878557-19-8,BODIPY-Cholesterol,BODIP-CLS2106788-30-9,Biotin-D-LysineDBCO-Disulfo-Cyanine3.5