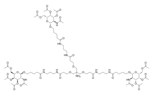
Tri-GalNAc(OAc)3,1159408-64-6的化学结构与性质
发布时间:2025-08-22     作者:zyl   分享到:
英文名 Tri-GalNAc(OAc)3
CAS号 1159408-64-6
分子量 1793.91
密度 N/A
沸点 N/A
分子式 C79H128N10O36
熔点 N/A

Tri-GalNAc(OAc)₃ 是种系统性蛋白质氧化物,包括三乙酰化 N-乙酰半乳糖胺(GalNAc)学习物。其氧原子由多个 GalNAc 机组经由十分的连结形式配位聚合,并在羟基角度完成了乙酰化绘制(OAc),而使构成防护的三糖成分。一种检查是否绘制在生物制品检查是否、口服药递送及寡糖学习中极具比较重要利用的价值,尤其要在靶向药物肝上皮细胞的氧原子递送系统中突出表现出差异化的优越。催化构成与特点Tri-GalNAc(OAc)₃ 原子核中包涵二个 N-乙酰半乳糖胺单位,每台单位的羟基被乙酰基(Ac)呵护,转变成乙酰化糖苷结构类型类型。这些乙酰化修饰语能否增強原子核的脂降解性,使其在有机会石油醚中还具有积极降解性,而且在提炼和储放过程中 中可以防止羟基的副影响。乙酰化糖在必须时可在温文尔雅去呵护影响(如酸碱性淀粉水解反响或酶促淀粉水解反响)挥发释发布自由羟基,才能恢复模块当然糖结构类型类型,实现了模块化影响或菌物之间意义。初中物理性化质上,Tri-GalNAc(OAc)₃ 一般 为白至淡橙黄色粉状,可互溶最常见有机酸相转移催化剂如酒精、乙酸乙酯和二氯甲烷气体。其化学式可靠性好一点,在干躁、阴凉、温度低條件下可持续补充。乙酰化守护使其在合出过程中中对腐蚀性條件还具有必然受性,但在强酸强酸强碱或强酸强碱坏境下仍需考虑,以尽量不要乙酰基水解反应。想关高性价比:CAS:115534-33-3,TMA-DPHER-TrackerGreen,730931-46-11801695-60-2|Me-tetrazine-Disulfo-Cyanine3CypHer5,CAS:312961-83-4894095-98-8,β-D-glucuronide-pNP-carbonate1185760-22-8,四磺酸-环己烯CY7-酪胺(三氟乙酸盐)Cyanine5.5 azide,1557136-25-059156-70-6,Di(N-succinimidyl)adipate