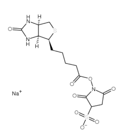
常用名 生物素 3-磺酸基-N-羟基琥珀酰亚胺钠盐
英文名 biotin sulfo-osu
CAS号 119616-38-5
分子量 443.42800
密度 1.64g/cm3
分子式 C14H18N3NaO8S2
模式:液态/粉状/悬浊液储存:冷藏箱销售:北京pg电子娱乐游戏app
生物制品科技发展有限制集团公司

Sulfo-NHS-Biotin 一种诸多选用于海洋生有机催电学和原子核海洋菌物工程学的水可溶海洋菌物工程素标注图片微海洋生物技术技术培养基,催化结构类型中通过了海洋菌物工程素基本和磺碱化 N-羟基琥铂酰亚胺(Sulfo-NHS)亲水性酯基团,使其既提高了海洋菌物工程素对亲和素(avidin/streptavidin)高判断力的性状,又具备着在水相必备条件下实施高效、性价比最高、会保护性偶联的技能。该微海洋生物技术技术培养基是核蛋白酶、抵抗能力、多肽简答他海洋菌物工程大原子核标注图片和纯化的完美的工具,被诸多选用于荧光标注图片、免疫性检验、核蛋白酶驯服及肿瘤药物递送探索中。化学反应结构设计设计因素,Sulfo-NHS-Biotin 由怪物工程素原子确认可水溶的磺硝化作用抗逆性氧酯与氨基可偶联官能团衔接。怪物工程素方面出示了与亲和素或链霉亲和素型成非共价结合起来的业务能力,而 Sulfo-NHS 抗逆性氧酯方面则够与核胆固醇或多肽中的伯胺或仲胺基团型成平稳的酰胺键。磺酸基团的建立同质性增进了微生物制品培养基的水可溶,使其可会直接在水稀硫酸或生理学缓存液中的使用,而不能自己有机的高沸点溶剂协助,以此变少对怪物工程原子的结构设计设计危害和抗逆性氧干拢。在化学物质性上,Sulfo-NHS-Biotin 为黄色至淡黄色金属粉或凝结粉末状,溶于于水、聚磷酸盐保护液(PBS)等水相液体,水溶解性同质性远远超过未磺硝化作用的 NHS-Biotin。其 NHS 可溶性酯在自来水中高发生溶解化学症状,故而工作的操作中承当量降低化学症状时长,或在温度、背光前提前提下确定以维系可溶性。该碳原子在室内温度及温度潮湿前提前提下兼具最好的维持性,可长远存贮于潮湿、背光工作环境中。Sulfo-NHS-Biotin 的基本性能是因为其蛋清质及菌物碳原子偶联学习能力。利用 Sulfo-NHS 组成个部分与学习目标碳原子中的氨基发生化学反应,可推动共价标上图片图片,一起实现菌物素组成个部分的亲和性,用到之后的与亲和素或链霉亲和素的搭配。一种偶联发生化学反应温润、选高朝,不须要金属材料离子液体剂,可在生理特点状况下开始,使蛋清质和多肽在标上图片图片时候中实现具有构象和菌物亲水性。标上图片图片后的终产物既能能用到荧光电极开发设计,也可以使用到免役放置、亲和层析或用量平台性能化。在生态学学和实验设计使用中,Sulfo-NHS-Biotin 密切用做核核蛋清酶质标识、抵抗能力偶联及血血人体细胞从表面层标识。充分利用其水无水磷酸氢和生态学混溶性,可之间在血血人体细胞或组织性模式中对从表面层核核蛋清酶来标识,为了改变流式的血血人体细胞进行分析、共凝聚电子显微镜分析及膜核核蛋清酶效果探究。还有就是,实现了 Sulfo-NHS-Biotin 对核核蛋清酶质或抵抗能力偶联,都可以做亲和层析纯化或抗体的查测,借助于生态学素与链霉亲和素的高沟通协调能力获取阶段目标原子核,改变高纯化和的查测。对于自己:山东pg电子娱乐游戏app
菌物社会发展信息有限品牌制新品牌就是一家从事专业食材药、MOF,铁离子固体 ,PEG衍菌物、科学研究化学试剂、多肽、微电子素材、碳奈米技术管、奈米技术素材、脂质体、合出磷脂的产品开发、定制化合出、生产方式和销售业务的高社会化发展信息菌物社会发展信息有限品牌制新品牌关于建议:罗丹明符号甲基丙烯酰化明胶 GelMAFITC conjugated GelMADOTA-三甘氨酸,DOTA-GGG2183440-59-5,二磺酸基Cy7-马来酰亚胺2230212-27-6,sulfo Cy5(Me) SE146368-14-1,Sulfo-Cy5-E 蜜腊酰亚胺酯Cy3.5-E 琥铂酰亚胺酯,Cyanine3.5-SE磺酸基Cy3-化学活化酯,146368-16-3cas:2007915-94-6,DBCO胺TFA盐Biotin-SS-Tyramide