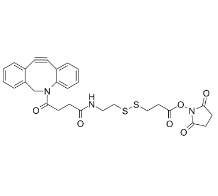
英文名 DBCO-CONH-S-S-NHS ester
CAS号 1435934-53-4
分子量 565.66
分子式 C28H27N3O6S2
熔点 N/A

DBCO-CONH-SS-NHS 的全叫做 Dibenzocyclooctyne-Carbonyl-Hydrazine-Disulfide-N-hydroxysuccinimide ester,俗称 DBCO-SS-NHS。该化学物质有的是种综合了 端部炔基(DBCO)、可备份二硫键(SS) 和 NHS 酯亲水性基团 的多系统化学交联剂。物理活性酶与功能键特质单击化学上活性酶类:DBCO 炔环可在无铜前提条件下与叠氮基团对其进行高速 、高效能、特喜欢的人的“单击”表现,型成三唑环,常主要用于标记图片敏感脆弱生物体保障体系。控制不不可逆转转性:二硫键的都存在具备了保存铭主观,可在当前环境下断裂现象,实现了不不可逆转转连接方式或媒体挥发,广泛的软件应用于用药挥发控制系统或控制化学交联。淀粉酶质/肽标上符号:NHS 酯可在平稳缓冲区水平下与淀粉酶质或肽链中的氨基共价融入,导致安全稳定酰胺键,进行有效率标上符号。多功用组合式:三功用输出模块结合起来保证了良好的测试敏锐性,可确保 核苷酸质-表层、核苷酸质-小原子核、核苷酸质-納米a粒子 等四种接入措施,同样可参与人工控制破裂或可逆性缓解压力。应该用域生物技术原子标识与化学交联:与淀粉酶质、抗体阳性或多肽共价接连,控制 DBCO-端双击呈现叠氮标注的碳原子,控制高效、性价比最高特情人标注。可于引入荧光测试探针、氧分子传调节器器或免役检侧采血管。控制口服药物或媒介体系:二硫键可重置,适于在相应重置性的环境(如肿瘤细胞内)减少抗癫痫药物或标注分子式,代替靶向药物递送和自动化减少机系统。奈米材质功用化:可将蛋白酶质、肽或许多分子结构用三的功用化学交联剂连接方式至nm颗粒状、配位高分子或菌物建材表面上,控制荧光的功用化、靶点的功用化或可以控制 脱附的功用。多模态实验英文制定:构建点击事件无机化学、高采用性淀粉酶质突显和稳定脱离性能,可以用在于很复杂生物体风险管理体系钻研,如淀粉酶质-淀粉酶质相互间用介绍、细胞系探测和分子式电极设计规划。各种相关最新推荐:Methyl Indole AM resinRhodamine-WGAmFluor Violet 540 WGAmFluor Violet 500春小麦胚芽凝集素(WGA)缀合物mFluor Violet 450冬小麦胚芽凝集素(WGA)缀合物iFluor 790小编胚芽凝集素(WGA)缀合物iFluor 750 WGAiFluor 700春小麦胚芽凝集素(WGA)缀合物914456-67-0,Fmoc-Ser(Me,Ac4Neu5Acα2-6Ac2GalNAcα)-OHiFluor 680 WGA,iFluor 680iFluor 532玉米胚芽凝集素(WGA)缀合物