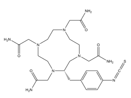
英文名 p-SCN-Bn-TCMC
CAS号 2780352-89-6
分子量 547.68
密度 1.38±0.1 g/cm3(Temp: 20 °C; Press: 760 Torr)(Predicted)
沸点 882.6±65.0 °C(Predicted)
分子式 C24H37N9O4S

p-SCN-Bn-TCMC 就是一种功用化螯合药剂学氧大分子框架,其框架由 TCMC(1,4,7,10-四氮杂环十三烷诞生环,热塑性树脂为四环己烷-1,4,7,10-四乙酸诞生物)关键区与对位异氰酸苄基(p-SCN-Bn)诞生基团相通过,达成包括双功用性的药剂学交通工具。TCMC关键区提取了四氮杂环框架,可为各种合金材料正离子带来了便捷维持的多齿配位环保。对位异氰酸苄基(p-SCN-Bn)尾端带来了高反响抗逆性,可与含胺基的氧大分子框架在无刺激具体条件下达成维持的酰脲键,因此做到氧大分子框架偶联与功用化。
在化工的节构上,p-SCN-Bn-TCMC 展现什么出双功用化优点。一立面,TCMC环经过四种氮电子层和许多羧酸并并衍生基作为多齿螯合自然环境,使材料化合物在水硫酸铜溶液可以够构成层面安稳的积极配合物。与传统与现代DOTA好于,TCMC经过环己烷化装饰增长了原子核式的面积柔性和化工安稳性,变少配位不干预,增长材料整合吸收率。另个立面,p-SCN-Bn终端经过碳氮键与环并并衍生物对接,为原子核式作为可与胺基偶联的发生反应位点,互相苄基的柔性的节构利于长期保持原子核式整体化的3D构型安稳,使材料螯合目标与偶联位点互不不干预。
p-SCN-Bn-TCMC 的合出大部分主要包括二步无机的无机化学作用。先,根据多步无机的合出分离纯化 TCMC 管理处环基本羧酸衍化官能团,保证四氮杂环完全基本面积构型稳定性。随后不久,将对位异氰酸苄基根据碳二亚胺或羧酸滋养技巧对接至 TCMC 管理处后部,组成牢靠的碳氮键,到 p-SCN-Bn-TCMC 有机物。在合出的过程中,要求严格要求掌握作用相转移催化剂、气温及pH值,以应对异氰酸基团油脂水解,一起做到环框架设计的完全性。有机物通常情况下根据高效能高效液相色谱(HPLC)纯化,并根据质谱(MS)和核磁震荡(NMR)认可氧分子框架设计及官能团完全性。一些引荐:1345968-02-6,(68Ga)Nota-prgd2NOTA螯合剂,NOTA-P2-RM26「18F」FB-RGD,18F标出RGD多肽1414595-49-5,Nodaga-rgd1393933-89-5,Nodaga-theranost922175-70-0,Galacto-RGDNOTA-cyclic RGDyK