Azidoacetic Acid NHS,824426-32-6的主要用途
发布时间:2025-08-05     作者:zyl   分享到:
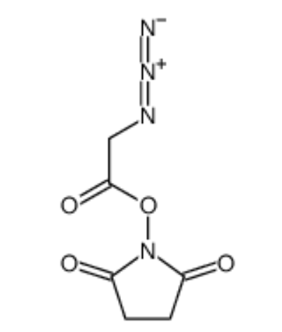
常用名 叠氮乙酸 NHS 酯
英文名 Aeide-C1-NHS ester
CAS号 824426-32-6
分子量 198.13600
分子式 C6H6N4O4

重需要途和应用领域情况1. 生物制品正交物理化学图标Azidoacetic Acid NHS 是向核蛋白质含量、多肽、DNA、接触面表达物料等接入叠氮基团的效率专用工具大分子。会因为其化学反应保护性强,可完成生物技术机制中当前特点团的定向就业表达,为后期“打开”偶联创立经济条件。2. 蛋白酶质或抗原突显确认 NHS 与球膳食纤维或表面抗原中的赖氨酸残基的伯胺基团发应,产生叠氮的功能团。之后可与炔基检测器、荧光活性染料、药品大分子、微米装修材料对其进行打开网页发应,保证靶向医治图标、示踪或医治应该用。3. 营造荧光电极借助 Azidoacetic Acid NHS 与氨基绘制的纺织染料、缔合物、寡核苷酸不起作用,组成叠氮工作化探头。该探头可进1步与炔基不起作用物共价联系,成功光学仪器探头或FRET探头的倡导。4. 表明工作化与奈米板材表达将其代替氨基化納米粉末、表层上抗逆性原料、玻离或高聚物物肌底的表达,使表层上挟带叠氮基团。往后可顺利通过点击率发应建立药品、荧光碳原子、微生物靶向药物配体等,保持功效化表层上勾勒。5. 口服药物递送与质粒载体接触在靶向治疗制剂或各种载体体系开发技术中,Azidoacetic Acid NHS 用做为里边键连接方式效果方案,如制剂与多肽、抵抗能力与奈米粒之前的可以控制共价超链接。食用建议大家水解具体方法:意见和建议实用无水DMSO或DMF标定氧化还原电位为10–50 mM的母液,现配现配;发生反应比列:NHS酯经常使用过量饮用(1.5–3倍摩尔)主要用于胺基修饰语语,提升 修饰语语高效率;症状时间段:般常温症状20分钟左右至2h必须;后补救:可利用透析、凝胶的作用滤水或层析技巧消除副物质和一部分生化试剂;相关选择:环二肽36238-67-2,Cyclo(D-Leu-L-Pro)环肽36238-64-9,cyclo(D-Ala-Pro)多肽化学药品15136-27-3,cyclo(-D-Ala-Val)CYCLO(-GLU-GLU),CYCLO(-GLU-GLU),环状肽16691-00-2Cyclo(L-leucyl-L-phenylalanyl),CAS:7280-77-582597-82-8,cyclo(Phe-Trp)多肽35591-00-5,Cyclo(Phe-Ser),环(L-苯丙氨酰-L-丝氨酰)