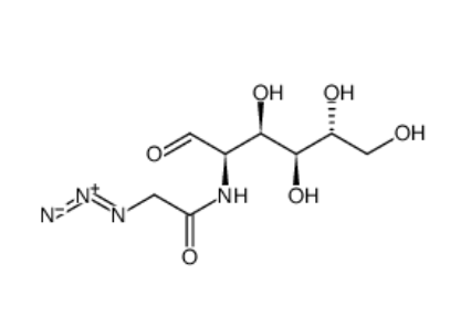
常用名 2-[(叠氮基乙酰基)氨基]-2-脱氧-D-葡萄糖
英文名 D-Glucose, 2-[(2-azidoacetyl)amino]-2-deoxy
CAS号 92659-90-0
分子量 262.22000
分子式 C8H14N4O6

N3-葡糖糖,日文名分为Azido-glucose,也是种含叠氮(–N₃)官能团的萄葡糖延伸物。其原子核设备构造源于萄葡糖(Glucose)骨架,顺利通过药剂学淡化在原子核当前方位组成叠氮基团,组成含稳重叠氮功能表的蛋白质有机物。合成视频措施N3-葡糖糖一般而言可以通过下例玩法合成图片:
叠氮化反应
选取合适的葡萄糖衍生物(如保护的半缩醛或半缩酮形式),利用叠氮化试剂(如叠氮钠NaN₃)在适当溶剂和温度条件下,将特定羟基或卤代基转化为叠氮基团。
官能基保护与选择性引入
由于葡萄糖含多个羟基,通常需通过保护基策略(如乙酰化、苄基保护)实现叠氮基团的选择性引入,避免副反应,保证产物的高纯度和结构确定。
纯化和表征
采用柱层析、重结晶等方法纯化,并利用核磁共振(NMR)、质谱(MS)及红外光谱(IR)等技术确认结构。
软件应用业务领域1. 生物制品正交化学式中的的关键生化试剂N3-葡糖糖所含的叠氮基团可参与性经典之作的“单击无机化学”现象,特殊是铜离子液体的叠氮-炔基环加持现象(CuAAC),构建与含炔基的原子核的高效性偶联,广泛运用运用于:生态学大分子标出:能够 叠氮-炔重心击影响,将荧光团、亲和标鉴等的功能基团特情人接连至糖大分子,用作癌细胞影像和监测研究方案。单糖装饰:装饰球核苷酸、脂质及核酸,研发糖基化对生物工程用途的影响到。药递送:建设靶向冶疗性糖绘制药平台,实现目标精准脱贫冶疗。2. 糖原分泌和微生物理学论述作为一个夏黑草莓糖注射液的叠氮延伸物,N3-葡糖糖可摸拟绿色夏黑草莓糖注射液参与活动人体细胞排泄的时候,帮科研单糖排泄信号通路、糖运输体制及有关的问题体制。3. 板材科学有效使用叠氮基团的高发生反应渗透性,可将N3-葡糖糖引出设计-三聚氰胺树脂杂化的原用料、基本功能表抓氧分子和纳米技术形式中,确立的原用料生物体混溶性和特异面部识别基本功能表。4. 炼制有机化学N3-葡糖糖是获得多糖及糖基ip产业物的重点中间的体,进行点开物理等的手段营造麻烦的糖链空间结构,增强新式的糖基有机化合物的设计的。涉及到个性化推荐:DBCO-Sata6501366302-52-4,PSMA11NOTA-WL12149206-86-0,Dota-ggga250612-42-1,cyclic(RGDyK)500577-51-5,Cyclo(-RGDfK)整理素靶向疗法环肽,Azido cyclic(RGDyK)1345968-02-6,(68Ga)Nota-prgd2