PEG2000-C-DMG,阳离子磷脂,在siRNA脂质体Onpattro中发挥怎样的功效?
说到Onpattro,当作已发行的siRNA脂质体,名声较大,过后新闻哥在介紹DLin-MC3-DMA时说起过siRNA脂质体Onpattro的治理,在当中除DLin-MC3-DMA外还是其中一个新面具PEG2000-C-DMG。同样是是阳阴阴阳离子脂质,阳阴阴阳离子磷脂PEG2000-C-DMG在siRNA脂质体Onpattro中树立怎样才能的攻效?与大家很熟悉的DSPE-PEG2000有又有什么去联系和本质区别吗?

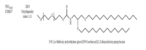
PEG2000-C-DMG在处方中的作用一是防止粒子间聚集,二是利用PEG2000的“隐形”作用实现长循环及被动靶向。那为何不用DSPE-PEG2000而是要费劲研制一个新辅料呢?根据原研公司Alnylam的研究,处方所用PEG化脂质的类型和数量不仅决定了脂质体的粒径大小,更会强烈影响基因沉默能力,明显DSPE在这一点上相较于C-DMA是不具有任何优势的。PEG2000-C-DMG可降低脂质体与细胞间的相互作用及吸附ApoE的能力,同时,使用含有短酰基链(C14的M)的聚乙二醇脂质,可在实现体内逃逸的同时快速解离,体内半衰期<30min,获得很好的肝细胞基因沉默效果。PEG2000-C-DMG在Onpattro中的用量如下:

PEG2000-C-DMG也可应用于小分子**药的阳离子脂质体的制备,替换DSPE-PEG2000。在弱酸性的**微环境中,PEG2000-C-DMA酰胺键发生断裂形成三价季铵盐,暴露出正电荷,使得粒子正电性即细胞毒性更强,对**新生血管的杀伤作用更明显。而这一反应在正常生理条件下则不易发生,因此制备的阳离子脂质体具有pH敏感性,安全性较高的同时抑瘤效果更好。


pg电子娱乐游戏app
微信公众号
官方微信