CBZ-NH-PEG6-COOH 1334177-80-8 的介绍
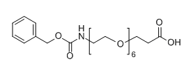
基础产品信息:英语怎么说简称:CBZ-NH-PEG6-COOHCAS No.:1334177-80-8日文別称:Cbz-N-amido-PEG6-COOH产品的含量:≥95%原子核式:C23H37NO10碳原子量:结构特征式:



pg电子娱乐游戏app
微信公众号
官方微信