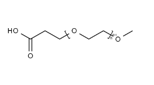
mPEG48-CH2CH2COOH兼具优良的亲水性,125220-94-2
英文版种类: METHOXYPOLYETHYLENE GLYCOL 5,000 PROPIONIC ACID
中文名称: 聚乙二醇单甲醚丙酸
MF: (C2H4O)nC4H8O3MW: N/ACAS: 125220-94-2
羧基(–COOH)端基 是该化合物的活性功能位点,可通过EDC/NHS活化,与氨基(–NH₂)类官能团发生酰胺键偶联。它广泛用于蛋白质、肽类、寡核苷酸的偶联修饰,也常用于修饰磁珠、纳米粒子、脂质体或其他聚合物载体,为其提供稳定的连接桥梁。
mPEG₄₈ 享有中等水平高度的柔性板亲水链,可在偶联或遮盖后构成“保护英文壳”,合理减掉核蛋白生物体降解、治理和改善天然免疫识別和酶生物体降解,明显提高自己生物体团伙的供血法系统循环法日期与平衡性。一种优点在机制化类药物、靶点的载体、亲水覆盖层规划中特别的关键。其甲氧基封端构造可应对原子核间热塑发应,为了保证突显位置性和安全性。该化学物质常常为灰黑色或类灰黑色膏状,互溶DMSO、DMF、甲醇、去离子水等多种类容剂,包括保持稳定的制法安全性和批间一样的性。虽然,会因为其团伙链间距该用,mPEG₄₈-CH₂CH₂COOH 是不为显著添加质粒粒度的首先下仍能展示很好的的*污性和区域屏蔽了使用效果,常见APP于界面*吸附力建筑材料、亲水金属涂层各种靶向疗法递送装置的表面功能模块化。综上所述,mPEG₄₈-CH₂CH₂COOH 都是种空间结构不稳、不起作用化学活化知道、生物工程工程兼容模式优秀企业的单官能PEG制剂,是建立多作用生物工程工程组织体制、精确度偶联的载体与绘制检测器的期望选取。渠道生产地:陕西省·绵阳标签印刷尺寸:小瓶,尺寸可以:50 mg / 100 mg / 250 mg / 500 mg。类产品状态下:保证固状、粉状或硫酸铜溶液形势,提供各个实验设计意愿。保管必要条件:请处于低温生态环境(食品冷藏)生态环境保存图片,减少采光和湿冷,以以确保软件吸附性和维持性。国产品牌推荐:郑州pg电子娱乐游戏app 菌物科技工司贸易有限工司英文工司细心于科学级药品信息传递与nm技术水平靶向治疗技术水平的研发团队与产生。工司的产品分为分解成磷脂、PEG衍菌物、嵌段共聚物、nm技术水平金属材料及磁铁nm技术水平粒状、介孔二脱色硅、活性氧荧光染色剂、荧光量子点、弹框电化学生化微生物培养基和大环配体等。公司恪守什么是创新服务理念,专注于于为国外科学院所和有关的部门给予高品行的科学生化微生物培养基,机械助力科学提升。之内资源由这里kx调整,未经许可教学科研使用的。厂品高性价比:18194-24-6,DMPC(1,2-二肉白芷酰-sn-甘油-3-磷酸胆碱)(+)-Biotin-PEG2-NH-Mal;305372-39-8(+)-Biotin-PEG3-Hydrazide ;1381861-94-4六臂聚乙二醇亚克力 酯Biotin-PEG-Aldehyde,Biotin-PEG-CHO六臂聚乙二醇荧光素4ARM-MPEG-SH,四臂PEG巯基6ARM-PEG-NCO,六臂PEG异氰酸酯叠氮PEG羟基,MW:5000;N3-PEG5000-OH

pg电子娱乐游戏app
微信公众号
官方微信