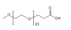
甲氧基-二十三聚乙二醇-丙酸 mPEG23-COOH 125220-94-2 的纯度
產品最基本企业信息:英文版名称大全:甲氧基-二十四聚乙二醇-丙酸英文翻译各称:mPEG23-COOHCAS No.:125220-94-2英文音标别称:mPEG23-CH2CH2COOH货品饱和度:≥95%团伙式:C50H100O26线质量:95%+碳原子量:让我们提拱标准的碳原子量,也能否选择投资者需求量完成环保定制家具店铺行为:-5°C下述储存,非常干燥,遮光单一公式:需小于等同于1.05高沸点液体:氯仿,DMSO等一部分设计高沸点液体。架构式:



pg电子娱乐游戏app
微信公众号
官方微信