DSPE-PEG-COOH 1403744-37-5 linzhi -聚乙二醇-羧基 的分享
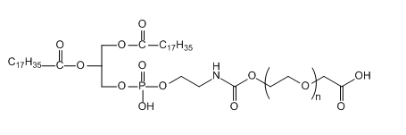
產品最基本数据:汉语名字大全:二硬脂酰基磷脂酰乙酸乙酯胺-聚乙二醇-羧基英语名稱:DSPE-PEG-COOHCAS No.:1403744-37-5用英文怎么说俗称:DSPE-PEG-AcidDSPE-PEG-Carboxylic acid产品设备色度:≥95%机构式:



pg电子娱乐游戏app
微信公众号
官方微信