COOH-PEG-COOH 39927-08-7 的分享
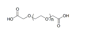
企业产品常见信息内容:中文版名稱:α,ω-二羧基聚乙二醇英文音标简称:COOH-PEG-COOHCAS No.:39927-08-7品牌含量:≥95%格局式:



pg电子娱乐游戏app
微信公众号
官方微信