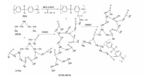
大环配体 DETA-DTPA-PES 偶联聚醚砜 Me-Cyclen 修饰甲基科研用
大环配体 DETA-DTPA-PES 偶联聚醚砜 Me-Cyclen 装饰甲基科技研究用大环配体 cyclen 和 DTPA 以及其衍生态学物兼备配位性,在化学上的及生态学医美前沿技术有充分的用实力。



pg电子娱乐游戏app
微信公众号
官方微信