DOPE-FITC,脂质-荧光素异硫氰酸酯共轭物:适用于脂质体标记的绿色荧光材料
DOPE-FITC
DOPE-FITC:适用于脂质体标记的绿色荧光材料
DOPE-FITC 护肤品的介绍一、产品概述
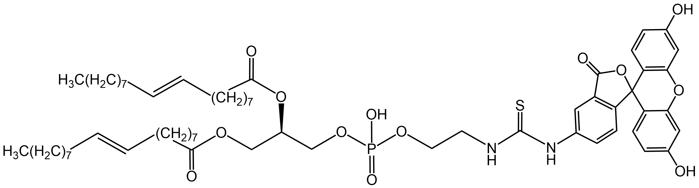
企业产产品名号:DOPE-FITC日文全稱:1,2-Dioleoyl-sn-glycero-3-phosphoethanolamine-fluorescein isothiocyanate也叫:DOPE-FITC,FITC-DOPECAS号:无中央集权号,是私人定制共轭物格局类别:脂质-荧光素异硫氰酸酯共轭物分子结构式:C₄₁H₇₅NO₈P + FITC原子核量:约 1300–1500 Da(决定于于相连的方式)外在:浅橙至黄有机纳米银溶液或贴膜状固态儲存條件:阴凉,-20°C常温、干燥隔绝存放溶解性性:溶水氯仿、DMSO、甲醇,尽量先决条件下可增溶于水相二、结构与荧光性质
1. DOPE部门DOPE(1,2-Dioleoyl-sn-glycero-3-phosphoethanolamine)是存在二条顺式双键不过饱和碳水化合物酸链的磷脂,存在超好的膜容合性和生物体相融性,常见适用脂质体、粉末状脂质奈米粒、奈米囊泡等组成部分中,能相对稳定嵌到神经元膜或人工膜体系。2. FITC一些FITC(Fluorescein Isothiocyanate)都是种非常经典的蓝色荧光测试探针,引起释放效果有以下:发挥光波波长(λex):约 495 nm使用光谱(λem):约 519 nm荧光背景颜色:鲜亮绿化量子劳动生产率:高(~0.9)作用:好上皮细胞系测试、共瞄准、荧光成相、流式上皮细胞上皮细胞系定量分析等FITC顺利通过异硫氰酸酯与DOPE顶级的工业乙醇胺氨基发现共价键合,确立不稳的 DOPE-FITC。
三、功能与应用领域
1. 脂质体标志与跟踪DOPE-FITC 能不稳添加图片脂质体膜中,使脂质体遵循环保荧光,该用于:脂质体组成部分三维成像与web3d血细胞摄入与内吞路径名科学研究奈米形式的人体外区域查测脂质体药物治疗递送原则深入研究2. 血细胞标上犹豫DOPE可锚定肿瘤细胞结构,而FITC提供数据可视4g信号,DOPE-FITC满足使用在:血细胞组成成分搜寻神经细胞质凝固实验性(如胞吞/胞吐查看)膜淀粉酶再构系统性的标签膜生态学物理化学论述3. 膜就结合探讨DOPE 是长用于模拟系统菌物膜的脂质之中,DOPE-FITC可以使用于仔细观察:脂质体-肿瘤细胞结合时奈米粒自身尽情释放犯罪行为荧光脱淬(FRET)测试分析膜空间结构重排4. 流式的神经细胞术阐述DOPE-FITC 就能够记号細胞、脂质体或另外的奈米结构类型,适宜于:免疫印迹神经元仪监测与化学发光法荧光符号平台的靶点性分析体细胞摄入推磁学定量分析四、技术优势
属性数据 叙述高亲脂性 可可靠锚应于脂质双层线路,常用来脂质体等结构设计高荧光难度 FITC卫星发射有力、易检侧、信噪变高电学不稳相关性性 FITC与DOPE共价接,预防有机染料脱轨更能用途 可与其它的脂质共混便用,有利于膜软件系统建设方案生物学相匹配性较好 DOPE这种收入于先天磷脂,对上皮细胞残毒性引响小五、实验操作建议
1. 操作百分比意见在脂质体中调用量为总脂的 0.1–1 mol%,不意见大量应用,以免 影响到膜框架稳定的性或激光散斑历史背景。2. 溶剂备制DOPE-FITC 一般而言应用氯仿或DMSO预容解,与其它脂质同时干膜法冶备脂质体。水化水温提醒为在常温至40°C,的使用PBS、HEPES或pH 7.4缓冲器液。生产设备脂质体推荐 透析快速清理分散FITC,可以获得更加稳定定、干净的的成相数据。3. 放置方试遮光保存文档于-20°C,的使用时应当遮光运作,以免 FITC荧光淬灭不意见与建议长时溶水水或降低液中另存,可按需分开包装冻干另存六、典型应用文献
Journal of Controlled Release, 2019“Fluorescent lipid-based carriers using DOPE-FITC for cellular uptake and intracellular tracking”Biomacromolecules, 2021“Visualization of liposomal drug release using DOPE-FITC conjugated phospholipids”International Journal of Nanomedicine, 2020“Construction of DOPE-FITC-labeled nanoparticles for cancer targeting and uptake studies”七、产品订购信息
软件编码查询 软件英文名称 设计技术参数 饱和度 保存标准DOPE-FITC-1 DOPE-FITC 1 mg ≥95%(HPLC) -20°C,闭光DOPE-FITC-5 DOPE-FITC 5 mg ≥95% -20°C,闭光DOPE-FITC-C 开发 同一个型号规格 ≥90%–99% 按消费者需求分析提拱开发精准服务 可结合具体需求供给下例大力支持:HPLC、NMR、MS、UV等分析方法图谱FITC/DOPE摩尔比定做脂质机制备服务质量连合标注新产品(如DOPE-FITC-PEG, DOPE-FITC-RGD)八、总结
DOPE-FITC 是一种兼具生物膜锚定能力和绿色荧光信号的功能性磷脂,已广泛用于生物膜研究、纳米递送、细胞成像和药物追踪等前沿领域。其良好的膜亲和性与成像性能,使其成为脂质体类系统不可或缺的标记分子。
其不稳界定性、公用性与荧光抗弯强度,使 DOPE-FITC 在探究调查、活体三维成像及中成药递送规则探究中兼有特别高的选用价值观。关于要有精度探测脂质系统的或构筑多的功能納米平台网站的探究者一般说来,DOPE-FITC 一款必玩首先选定的高耐热性交通工具分子式。银川pg电子娱乐游戏app 生态学网络有局限工厂专一于高品质高的质量保证聚乙二醇(PEG)举例说明ip产业发展态学的出产制造与出产,保证涉及非线性PEG、支化PEG、多官能团PEG、嵌段共聚物PEG等少部分的多个根基组成部分成品,广使用于生态学健康安全、确诊微动物培养基、微米材质及药剂学合出等邻域。工厂符合灵活性的设计效果,可依据加盟商消费市场需求保证指定区域分子式量(200–20,000 Da)、官能团(如-NH₂、-COOH、-SH、-N₃、-Biotin、荧光标识等)并且不一样组成部分的PEG突显服務。通过高端的合出品台与从严的的质量把控标准,pg电子娱乐游戏app 生态学纷纷致力于打造于为教学科研、药剂定制开发和材质使用保证靠普、安全稳定、可朔源的PEG解决办法方案怎么写,支撑加盟商完成从工作室设计到产业发展有效的转化的当下消费市场需求。产家:兰州pg电子娱乐游戏app 海洋生物科学技术限制装修公司的主要用途是什么:研究的情形:固体颗粒/粉状/溶剂主产地:石家庄和谐通知:仅作科研开发,是不能于人体人体实验室!想关类产品:DOPS-PEG2000-CY3DOPS-PEG2000-SHDSPE-Itaconic AnhydrideDSPE-PEG3000-ACADSPE-PEG-TanninsDSPE-PEG2000-DOXDSPE-PLGA2000DSPE-PEG2k-PLGA1k

pg电子娱乐游戏app
微信公众号
官方微信