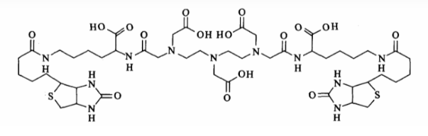
177 Ln-DTPA-BIS-BIOTIN核素化双功能大环配体修饰生物素
双功效大环配体DTPA,能与怪物氧原子共价连入又能鳌合轻金属核素,造成是一个稳固的核素-鳌合剂-怪物氧原子标签物,今儿网编每日分享177 Ln-DTPA-BIS-BIOTIN,一件来看一下:



pg电子娱乐游戏app
微信公众号
官方微信