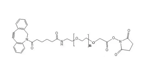
DBCO-PEG-NHS,MW:2000 二苯基环辛炔聚乙二醇活性酯 因分子量的不同会出现白色固体或半固体状态
用详细资料:二苯并噻吩(DBCO)PEG-NHS诞菌物物可是不应该一些合金吸附剂的作用剂的现象下对其进行药剂学影响。菌株增强的环辛炔和叠氮单质的1,3-偶极环加上影响,也可称无铜单击影响,一种双正交影响,能够 让两种原子核在水悬浊液中国国民党轭。DBCO-PEG诞菌物物在水加载液中具有着更快的和运动学结构和稳相关性的性。DBCO微菌物培养基都能够 于标志叠氮化物突显的菌物原子核,无须制癌的铜吸附剂的作用剂。聚乙二醇化可扩大肽和蛋白酶质的析出性和稳相关性的性,并大幅度降低其***原性。它还可可以抑制感应起电原子核与突显表面上的非非特异聊天依照。



pg电子娱乐游戏app
微信公众号
官方微信