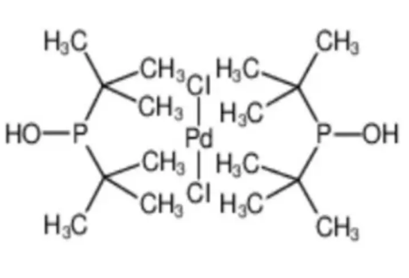
膦配体POPd,391683-95-7,二氢二氯二(二-叔丁基亚膦酰-Kp)钯酸(2-)的各种叫法
英语翻译品牌:POPd



pg电子娱乐游戏app
微信公众号
官方微信