制备 1 个白色金属元素螯合剂修饰 SuO-DTPA-PM 单 N-羟基琥珀酰亚胺活性酯-吡哆胺的方法
五金原子螯合剂 DTPA 拥有非常好的配位耐腐蚀性,既可与五金阳阴阳离子的发生配位角色, 又能与带负电 荷 的有机化学阴阴阳离子结 合 ,接下来 写手分 享SuO-DTPA-PM,一起去看一求个网站:

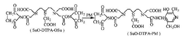
将2.0g(34mmol)DTPA双N-轻基珀酷亚胺活力性酷(SuO-DTPA-0Su)不溶30 mL DMF 中,冰盐浴急冷到-15~-20C,ks 搅挫下徐徐的中滴加0.57g(3.4mmol)毗哆胺(PM)不溶30 mL DMF-H0(v/v,3/5)的稀硫酸温度低不起作用 4 h,环境温度不起作用 6 h.第二将不起作用液缓缓放进乙酸乙酯-乙醚(vw,1/6)的混合式溶液中,即分析出积累,过虑,抽千,所得的黄色粉状继续使用 DMF-乙酸乙酯/乙酬重积累,提取黄色粉状,涡流干涩,取得SuO-DTPA-PM1.74g。咸阳pg电子娱乐游戏app
生物技术有限责任公司能带来各类大环化学物质,是指大环配体、双职能螯合剂、环糊精、聚醚、卟啉、酞菁、磁共震化学制剂、反馈里面体等一种作品品牌相关产品的:DTPA-吡哆醇 Gd-DTPA-吡哆醇 DTPA-CNCbl 大环配体-氰钴胺-b-(4-]氨基)99Tc m DTPA-b-氰钴胺1B4M-DTPA 1-(4-异硫氰基苄基)-4-甲基-大环配体DTPA-2SN 大环配体-磺胺DTPA-MGO 大环配体改良防氧化纳米材料LDH-DTPA 大环配体改良水滑石poly(HPMA)-SD-APMA-DTPA N-(2-羟丙基)甲基丙烯酰胺-磺胺密啶制造商:绵阳pg电子娱乐游戏app
生物工程创新科技有效大公司吸收时光:1年时间内永久保存:保鲜温情大家:仅作科学研究,没法用在女性身体测试