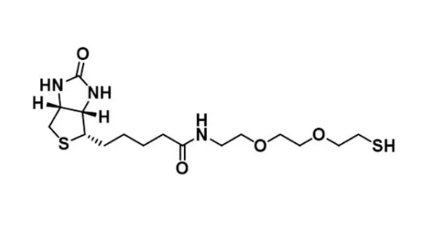
Biotin-PEG2-SH,生物素-二聚乙二醇-巯基,Biotin-PEG2-Thiol 是一种 PROTAC linker,属于 PEG 类
英语品牌:Biotin-PEG2-SH,Biotin-PEG2-Thiol



pg电子娱乐游戏app
微信公众号
官方微信