3个环状金属元素螯合剂DTPA偶联酰肼衍生物二(乙酰异烟畊)与二(乙酰苯甲酰畊)
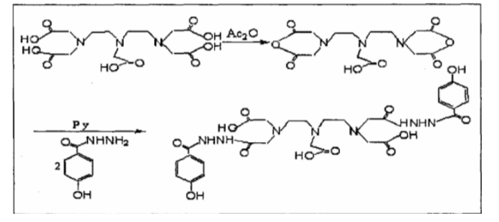
二乙三胺五乙酸(DTPA) 一种种必要的环状废金属属性合剂,都有能同客体氧分子式相配的空腔,有差异金额的接段等,兼备和动力学模型性的特点和适当的键合角度及用途基团,一种类必要的要素氧分子式。在这里这里分享和交流DTPA 偶联酷耕诞生物,各一斜起了解下吧:酷阱诞生物:二乙三胺一 N,N'-二(乙酷异烟)一-NN',N"一三乙酸二乙三胺一 N,N-二(酷苯甲酷阱)一NNN一三乙酸二乙三胺 NN'-二(乙酷对轻基苯甲酷阱)一NNN一三乙酸下面以二乙三胺 NN-二(乙酷对轻基苯甲酷)一 NNN一三乙酸的提纯试对:



pg电子娱乐游戏app
微信公众号
官方微信