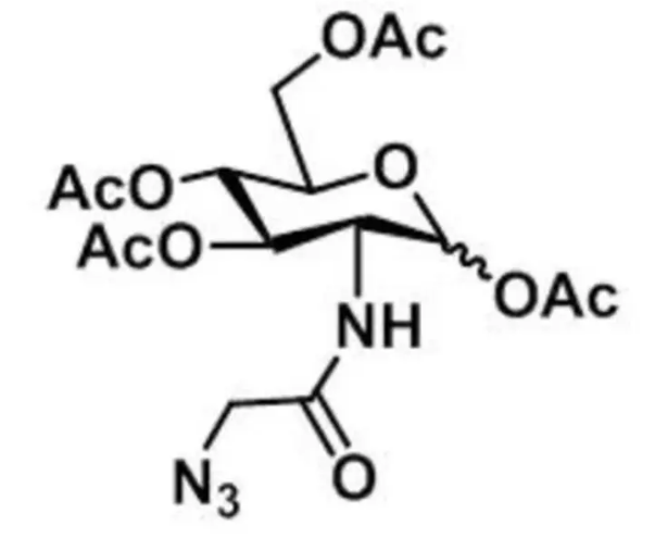
英文音标英语名字称:Ac4GIcNAz
N-Azidoacetylglucosamine, Acetylated
N-azidoacetylglucosamine-tetraacylated
2-[(Azidoacetyl)amino]-2-deoxy-D-glucopyranose 1,3,4,6-tetraacetate
繁体中文公司名称:叠氮突显夏黑葡萄糖注射液
N-乙酰葡糖胺叠氮基
2-[(叠氮乙酰基)氨基]-2-脱氧-D-吡喃红提糖 1,3,4,6-四乙酸酯
CAS No:98924-81-3
原子核式:C16H22N4O10
分子式量:430.37
纯 度:≥ 98%

西安市pg电子娱乐游戏app
生物制品科学有限制新公司生意的商品设备各种类型有有:转化成磷脂、涨碳原子聚乙二醇发展物制品、嵌段共聚物、永磁铁微米级级级小粒、微米级级级金及微米级级级金棒、近红外荧光颜料、吸附性荧光颜料、荧光标出物、蛋白质酶交连剂、小碳原子PEG发展物制品、点计化学物质商品设备、干枝状配位混物、环糊精发展物制品、大环配体类、荧光量子点、全胶原发展物制品、微米材料或阳极钝化物微米材料、碳微米级级级管、富勒烯,二阳极钝化物硅及介孔二阳极钝化物硅,配位混物微球,近红外荧光颜料,聚苯乙稀微球,上变换微米级级级有光小粒,MRI核磁造影商品设备,荧光蛋白质酶及荧光检测器孩他。
食品百科:
具有刺激性单糖的非当然叠氮有机物。叠氮化物区域可借助检查是否工业进行性接检查是否工业表达,包涵CuAAC、Cu随意键合作用或Staudinger接。乙酰基添加了在大多石油醚中的溶解完度,使一种微生物培养基的正确处理更非常容易。
The tetraacetylatedN-Azidoacetyl-glucosamine (Ac4GlcNAz) provides a non-radioactive alternativefor glycoconjugate visualization. It is cell-permeable, intracellularlyprocessed and incorporated instead of its natural monosaccharide counterpartN-Acetylglucosamine(GlcNAc).
The resulting Azide-functionalizedglycoconjugates can subsequently be detected via Cu(I)-catalyzed or Cu(I)-freeClick Chemistry that offers the choice to introduce a Biotin group (via Azidesof Biotin or DBCO-containing Biotin, respectively) for subsequent purificationtasks or to introduce fluorescent group (via Azides of fluorescent dyes orDBCO-containing fluorescent dyes, respectively) for subsequent microscopicimaging.
有关的物品:
21085-72-3 1-溴代-2,3,4-三-O-乙酰基-α-D-红提葡萄糖粉醛酸甲酯
144218-98-4 乙基 2-乙酰氨基-3,4,6-三-O-乙酰基-2-脱氧-β-?D-硫代吡喃半乳糖苷
10022-13-6 1,3,4,6-四-O-乙酰基-2-脱氧-2-邻苯二甲酰亚氨基-β-D-吡喃红提葡萄糖注射液苷
13100-46-4 1,2,3,4-四-O-乙酰基-β-D-吡喃红提葡糖
102816-25-1 3,4,6-三-O-乙酰基-2-脱氧-2-邻苯二甲酰亚胺基-??α-D-叠氮化吡喃夏黑葡萄糖粉
1404472-50-9 1,3,4,6-四-氧-乙酰基-2-[(叠氮乙酰基)氨基]-2-脱氧-β-D-吡喃半乳糖
3150-20-7 4-甲氧基苯基 β-D-吡喃半乳糖苷
59935-49-8 苄基 2,3,4-三-O-苄基-α-D-吡喃匍萄糖苷
10034-20-5 1,3,4,6-四-O-乙酰基-β-D-氨基草莓糖硝酸盐
1399861-03-0 ε-N-巴豆酰基赖氨酸
20513-98-8 1,2-O-亚异丙基-α-D-葡糖醛酸-6,3-内酯
69075-42-9 5-乙炔基尿苷
92659-90-0 2-[(叠氮基乙酰基)氨基]-2-脱氧-D-常见葡萄品种糖
7107-59-7 苄基 N-(4-羟基苯基)-氨基甲酸酯
65864-60-0 2,3,4,6-四-O-乙酰基-β-D-叠氮化吡喃甘霖糖
869186-83-4 2-[(叠氮乙酰基)氨基]-2-脱氧-D-吡喃半乳糖
494-08-6 4-(β-D-萄葡糖氧基)-3-甲氧基苯醛
114861-22-2 1,2-O-亚异丙基-α-L-呋喃木糖
含量:98%+
产址:上海
的用途:仅适用于教学科研
外在:小瓶装
批发商商:浙江pg电子娱乐游戏app
生物学信息技术有限制总部