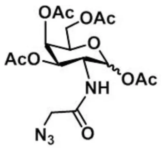
Ac4GaINAz,CAS No:653600-56-7,叠氮修饰半乳糖,N-azidoacetylgalactosamine-tetraacylated
的产品简价:N-叠氮乙酰半乳糖胺四酰化(Ac4GalNAz)可以提供好几回种简简单单而能信的几步水平的**的部分,该水平可进一步分辨和定量分析含带糖淀粉酶的肿瘤组织内部接触面津液酸。叠氮化物掩盖的淀粉酶质用荧光炔烃或菌物素炔烃的检测。乙酰基扩大了肿瘤组织内部的光泽感性,使非天然植物糖更易经过肿瘤组织内部膜。当单糖进到肿瘤组织内部,羧酯酶也就会清掉乙酰基。



pg电子娱乐游戏app
微信公众号
官方微信