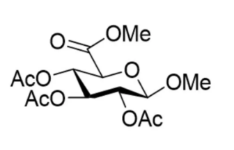
cas:34213-34-8,甲基 2,3,4-三-O-乙酰基-β-D-葡萄糖醛酸甲酯,Methyl 2,3,4-Tri-O-acetyl-β-D-glucuronic Acid Methyl Ester
国外英文各称:Methyl 2,3,4-Tri-O-acetyl-β-D-glucuronic Acid Methyl Ester



pg电子娱乐游戏app
微信公众号
官方微信