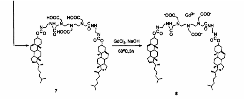
DTPA-2Na3APTSPP 大环配体-水溶性卟啉化合物
中文版名字大全:大环氧化物呈现卟啉/双酰胺胆固英文音标命名:DTPA-2Na3APTSPP/DTPA-chol2背景颜色:/溶解度:95%+贮存:-20℃妙用:科学



pg电子娱乐游戏app
微信公众号
官方微信