金刚烷-聚乙二醇-二油酰基磷脂酰乙醇胺 Ad-PEG2000-DOPE 磷脂-PEG-金刚烷
金刚烷-聚乙二醇-二油酰基磷脂酰酒精胺 Ad-PEG2000-DOPE 磷脂-PEG-金刚烷中文名大全:金刚烷-聚乙二醇-二油酰基磷脂酰无水乙醇胺英语翻译名字:Ad-PEG-DOPE纯净度:95%+存储空间状态:-20°C,阴凉,避湿外型:固态垃圾或粘结性液态体,衡量于碳原子量PEG原子核量可供选择:350、550、750、1k、2k、34k、5k标签印刷:桶装/小袋装水解性:不溶大组成部分巧妙稀释剂,如:DCM、DMF、DMSO、THF等一下。在水有很不错的水解性需要注意装修细节:提取必须要干,尽量避免不停的溶解度和冻干浙江pg电子娱乐游戏app
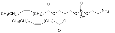
微生物还能给予PEG接枝绘制金刚烷,金刚烷-聚乙二醇-二油酰基磷脂酰酒精胺,DOPE-PEG-Ad,二油酰基磷脂酰酒精胺-PEG-金刚烷二油酰基磷脂酰酒精胺DOPE结构设计式



pg电子娱乐游戏app
微信公众号
官方微信