CAS: 1339202-33-3,Diazo Biotin-PEG3-azide/N3,重氮生物素-叠氮化物的描述
设备介绍:
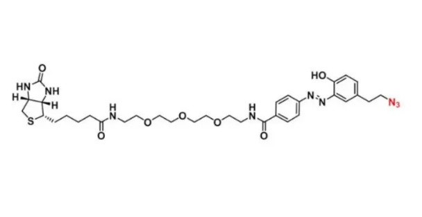
英文名称:Diazo Biotin-PEG3-azide



pg电子娱乐游戏app
微信公众号
官方微信