制备 1 个白色金属元素螯合剂修饰 SuO-DTPA-PM 单 N-羟基琥珀酰亚胺活性酯-吡哆胺的方法
铝合金材质因素鳌合剂DTPA 会有稳定的配位使用性能既可与铝合金材质阳阴正离子进行配位能力,又能与带负自由电荷的有机质阴阴正离子紧密联系

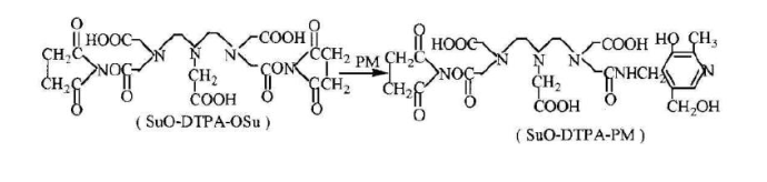
将2.0g(34mmo1)DTPA双N-轻基珀酷亚胺活性酶酷(SuO-DTPA-0Su)易不溶30mL DMF 中,冰盐浴闭式冷却塔到-15~-20C,ks 绞拌下一点一点加入适量0.57g(3.4mmol)毗哆胺(PM)易不溶30 mL DMF-H,(v/v,3/5)的液体温度过低不良生理症状 4 h,环境温度不良生理症状 6 h.随后将不良生理症状液一点一点倒进去工业酒精-乙醚(vw.1/6)的搅拌液体中,即析晶积淀,过滤程序,抽干,所拥有暗红色固态物体继续使用 DMF-工业酒精/乙酬重积淀,抽取暗红色固态物体,重力作用粗糙,拥有 SuO-DTPA-PM1.747g。叙述:DOTA碳原子结构是一种种十三元四氮杂大环配体的复合的元素螫合剂。依据在PEG化奈米装修材料外表依照DOTA碳原子结构来螯合放射线性核素,将核医美检查与磁震荡,光电技术三维影像包括光声三维影像等依照起來。关联护肤品:DTPA-pAS-TbRB-SE 大环配体-氨基水杨酸-罗丹明B-虎珀酰亚胺酯Tb3+-DTPA-bis(fluorescein) 重金属阳离子标上荧光素双调动荧光检测器DTPA-AN-SF 大环配体标上螺二芴-蒽-三苯胺基团 发蓝光DTPA-AN 大环配体标记图片蒽-三苯胺基团 发蓝光DTPA-BAN 大环配体箭头蒽-三苯胺基团 发蓝光平台:渭南pg电子娱乐游戏app
生物体科技发展现有平台保存时间段:3年存有:保鲜舒适告诉:仅作教育科研,不使用在体内实践