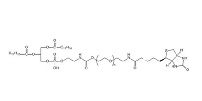
385437-57-0,Biotin-PEG-DSPE,生物素聚乙二醇磷脂,DSPE-PEG-BIO,功能性磷脂PEG衍生物
英文翻译名:Biotin-PEG-DSPE



pg电子娱乐游戏app
微信公众号
官方微信