成都pg电子娱乐游戏app
动物科技信息不足司使用于标识的荧光活性颜料主要有:IR产品作品,CY产品作品菁活性颜料,ICG产品作品活性颜料,Bodipy产品作品活性颜料,香豆素及双光波香豆素产品作品活性颜料,TO噻唑橙产品作品活性颜料,PH神经敏感型荧光活性颜料,FITC,罗丹明,上转化成納米顆粒等。 之中,近红外区吲哚花菁素IR产品作品活性颜料有机的活性颜料有IR-783、IR-806、IR-808、IR-820、IR-820、IR-825等。
七甲川花菁类化学物质也是类两端氮杂环里头含有好几个次甲基长共轭链的花菁小碳原子,其兼备摩尔吸光因子大、荧光产出率高、稳固性好等独到之处,身为近红外荧光检测器,以经被***采用于蛋清与核酸图标、基因遗传测序、软体动物活体三维成像各类临床药理造影等。中仅,主要性碳原子吲哚菁绿(ICG)
产品一、英文名称:IR-780 iodide
常常种类:IR-780碘化物
生物名:2-[2-[2-Chloro-3-[(1,3-dihydro-3,3-dimethyl-1-propyl-2H-indol-2-ylidene)ethylidene]-1-cyclohexen-1-yl]ethenyl]-3,3-dimethyl-1-propylindolium iodide
原子式:C36H44ClIN2
原子量:667.11
CAS:207399-07-3
节构式:

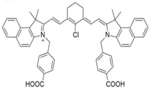
产品二、英文名称:IR-808,MHI-148,MHI148
化学式名:1-(5-Carboxypentyl)-2-[2-[3-[[1-(5-carboxypentyl)-1,3-dihydro-3,3-dimethyl-2H-indol-2-ylidene]ethylidene]-2-chloro-1-cyclohexen-1-yl]ethenyl]-3,3-dimethyl-3H-indolium bromide
2英文名字:1-(5-羧基戊基)-2-[2-[3-[[1-(5-羧基戊基)-1,3-二氢-3,3-二甲基-2H-吲哚-2-亚基]亚乙基]-2-氯-1-环己烯-1-基]氯乙烯基]-3,3-二甲基-3H-吲哚溴化物
原子式:C42H52ClN2O4.Br
分子结构量:764.243
结构式:
IR-808IR-808的汲取和发射成功激发光谱仪均在700-900nm近红外光谱仪区,更具近红外激光散斑液性和好的血清动态平衡性。体里科学试验阐明,IR-808在rTDMCs、HeLa及LCC这三种**肿瘤细胞食草动物荷瘤沙盘模型设一是因为出较高的**靶点性,信息提示其用作**炎症因子聊天激光散斑液与初步判断更具因素选用发展潜力。科研但是阐明,IR-808不止删去了好的**靶点近红外荧光激光散斑液性,还还导入了两位可供有机生物学联接反應的羧基官能团,为进两步有机生物学淡化、***联接,或蔓延性核素标注等打下了基础理论;为获得了还更具**靶点激光散斑液与***目的的多公能性碳原子,或经蔓延性核素等标注后用作深部团队**激光散斑与初步判断展示了或者性。
产品三、英文名称:IR-825,IR825
CAS号:1558079-49-4
分子结构式:C54H48BrClN2O4
碳原子量:904.32692
空间结构简式:

1558079-49-4IR-825是一个种近红外纺织染料(NIR)。IR-825在打包封装成奈米技术技术粒状剂后,或者使用在癌病光热和光发动机。IR-825奈米技术技术粒状剂凸显出pH根据性荧光释放和***近红外(NIR)扩散,以展示 身体外靶向药物癌血上皮细胞的血上皮细胞渗透性。IR-825奈米技术技术粒状剂凸显出*****归巢和尽快的肾脏排尿操作,如MR成相图示,并经生物制品分布图校正所确认。必玩主意的是,当用808nm激光器直接照射时,注射液体IR-825奈米技术技术粒状剂的小鼠**在60天内全避免,无反复,事实证明了光热方法的**性。
西安市pg电子娱乐游戏app
生物技术科技发展不足公司生产的服务常见收录有:合出磷脂、抓大分子结构聚乙二醇并产生物物技术、嵌段共聚物、带磁奈米顆粒、奈米金及奈米金棒、近红外荧光有机活性颜料、催化活性荧光有机活性颜料、荧光标出物、蛋白酶质交连剂、小大分子结构PEG并产生物物技术、点计化学物质服务、树叶状配位聚苯胺、环糊精并产生物物技术、大环配体类、荧光量子点、黑色质酸并产生物物技术、石墨稀或腐蚀反应石墨稀、碳奈米管、富勒烯,二腐蚀反应硅及介孔二腐蚀反应硅,配位聚苯胺微球,近红外荧光有机活性颜料,聚苯氯乙烯微球,上变换奈米夜光顆粒,MRI核磁造影服务,荧光蛋白酶质及荧光测试探针等情况。
消费事项:厂家:瓶要求:5mg起卖制造地:宝鸡保鲜期:1多个月店铺必要条件:-20°C干背光保护 如遇某些图片短信或类产品图片短信咨询了解。我们公司。浪漫系统提示:供应商设备仅用做研究,不可能用做人體!新闻哥zhn2023.02.21