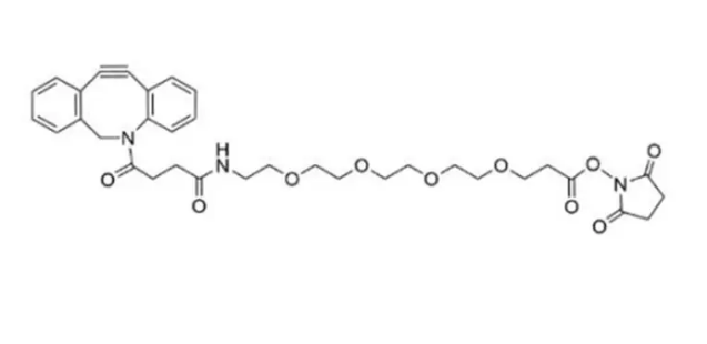
1427004-19-0,DBCO-PEG4-NHS Ester,二苯基环辛炔-四聚乙二醇-活性酯,含有NHS酯的点击化学PEG试剂
厂品介简:DBCO-PEG4-NHS酯就是种富含NHS酯的点开物理PEG微生物培养基,才能在一般的中性或稍咸性经济条件下与伯胺(举例说明赖氨酸残基的侧链或氨基硅烷表层外层)特异**地反馈迟钝以构成共价键。亲丙烯酸乳液PEG相隔臂加强了水可溶性,并提高没事个长而比较灵活的接,容许地限制了与接相关的英文的服务器思维障碍。DBCO一般使用无铜点开物理反馈迟钝。



pg电子娱乐游戏app
微信公众号
官方微信