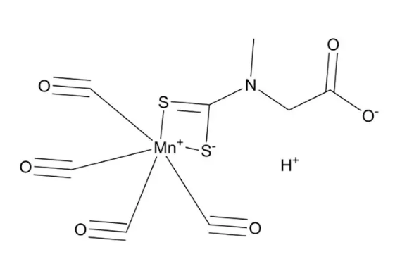
1001015-18-4,CORM-401可用于inflammation和氧化应激介导的病理学研究
日文称呼:CORM-401

Bodipy530/548 174881-57-3
Bodipy530/550 无
Bodipy545/570 无
Bodipy530/550 187089-10-7
Bodipy545/570 无
Bodipy560/585 无
Bodipy550/580 无


pg电子娱乐游戏app
微信公众号
官方微信