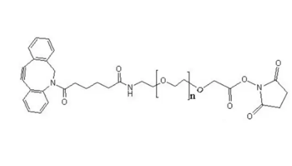
DBCO-PEG-NHS,Dibenzocyclooctyne-PEG-NHS,二苯基环辛炔PEG琥珀酰亚胺酯 分子量:400、600、1K、2K、3.4K、4K
简体英语名:二苯基环辛炔PEG琥铂酰亚胺酯,二苯基环辛炔聚乙二醇抗逆性酯



pg电子娱乐游戏app
微信公众号
官方微信