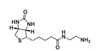
Biotin-TK-NH2 生物素-酮缩硫醇-氨基 NH2-TK-Biotin
【货产品标题称】Biotin-TK-NH2 怪物素-酮缩硫醇-氨基 NH2-TK-Biotin【企业产品淘宝手机端】融解性:互溶很多人都数有机化学高沸点溶剂。安稳性:在-20°C下干燥处理1两个月。怪物素(biotin,B)广划分于动、绿色植物团体性中,常从含氧量较高的卵黄和肝团体性中分离出来,大氧原子核量244.31Da.怪物素大氧原子核有一个环状架构,表中Ⅰ环为咪唑酮环,是与亲和素通过的大部分皮肤部位;II环为噻吩环,C2有着一戊酸侧链,其尾端羧基是通过抵抗能力和各种怪物大大氧原子核的**架构,经催化体现后,怪物素可已成为有点许多种化学碱化基团的衍怪物——碱化怪物素。碱化怪物素能能在核蛋清热塑剂的介导下,与相等的可以说每个怪物大大氧原子核偶联,有核蛋清质,核酸,多糖,脂类等。



pg电子娱乐游戏app
微信公众号
官方微信