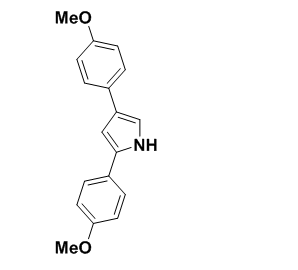
CAS号:437981-51-6 | 1H-Pyrrole, 2,4-bis(4-methoxyphenyl)- | 吡咯类化合物
CAS号:437981-51-6英文怎么说名称大全: 1H-Pyrrole, 2,4-bis(4-methoxyphenyl)-中文名字字称呼:大分子结构: C18H17NO2分子结构量: 279.33CAS: 437981-51-6



pg电子娱乐游戏app
微信公众号
官方微信