DSPE-PEG5000-Mannose 磷脂聚乙二醇甘露糖 DSPE-PEG-Man 磷脂PEG甘露糖
磷脂聚乙二醇甘霖糖 DSPE-PEG-Mannose 磷脂PEG甘霖糖 DSPE-PEG5000-Mannose
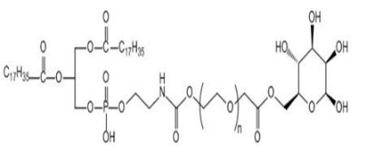
中文名称磷脂聚乙二醇甘露糖
英文名称DSPE-PEG-Mannose
产品名称磷脂聚乙二醇甘露糖 DSPE-PEG-Mannose
分子量3400
溶解度溶于DMSO DMF等部分有机溶剂
存储条件-20°冷冻保存,惰性气体保护
保存时间一年
其它信息更大包装欢迎询价
其它分子量1000 2000 5000 10000



pg电子娱乐游戏app
微信公众号
官方微信