商品详细情况:
CAS号:1628790-36-2;1628897-78-8(会含阴铁离子)
外观专利:翠绿色固体颗粒
饱和度:95%+
化学上的式:C48H55ClN6O
可溶性高,溶于水的度:不能溶解充分高沸点溶剂(DMSO、DMF、二氯二氧化氮),底层的水中融解度低
氧分子量:767.44
保存必要条件:-20℃
调动:788nm
导弹发射:808nm

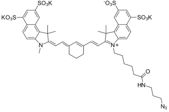
Cyanine7.5 也是种兼有长波红外荧光的 NIR 染剂。该衍生物物是中用 Click Chemistry 的叠氮化物。可中用营造含有 Cyanine7.5、近红外荧光染剂和 Cy7.5- 的改良有些相似物的各方面标注生物制品分子式。当用在里面三维成像时,这个偶联物能否借助 NIR 组织的透明度。这种荧光团也可用于其他荧光应用,特别是需要低荧光背景。叠氮化物可用作 DMSO 溶液,可用于一般点击化学标记协议,或以固体形式用于定制标记应用。结构具有刚性桥接聚甲炔链,可将量子产率提高 20%,从而产生更亮的信号。
.我给出很多特点基团的荧光标上衍生物制品物货品,荧光标上偶连很多亲水疏水缔合物、很多蛋白质、很多小碳原子这些等等。也给出荧光素FITC、罗丹明、辣根酶HRP、生物制品素Biotin、Cy7、Cy5、Cy3、Cy5.5、ICG标上类药物很多多肽、凝集素等货品的制定
生产商:北京pg电子娱乐游戏app 生物制品网络现有集团公司
使用:科技
状态下:混合物/粉末状原材料/饱和溶液
产区:陕西
存放时间段:半年
存放:冰箱
储放前提:-20℃
和谐温馨建议大家:未经许可科研课题,无法采用人实验英文
涉及到的新产品:
Cy3-p62 Cy3标签自噬底物蛋白酶
Cy3-LDM Cy3标签辅基蛋白酶
Cy3-PeaT1 Cy3箭头纯化的PeaT1蛋白酶碳原子
Cy3-Discosoma Cy3标记符号荧光淀粉酶表观遗传
Cy3-Calmodulin Cy3符号钙调素/钙调球蛋白
Cy3-OMP-IgG Cy3标出鸡奇特弯曲变形杆菌外膜血清
Cy3-MCP Cy3标出瘤胃微生物学蛋白酶(MCP)


pg电子娱乐游戏app
微信公众号
官方微信