Sulfo-Cyanine3 azide,磺酸基-Cy3-N3,水溶性Cyanine3叠氮,Sulfo-Cy3 azide,水溶性Cy3发射波长
Sulfo-Cyanine3 azide;
Sulfo-Cy3 azide;
磺基花青3叠氮化物;
厂品详情页:
CAS号:2055138-89-9
油漆颜色: 深褐色的晶状体
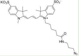
原子量:720.83
分子结构式:C34H45N6NaO8S2
饱和度:95%+
保留前提:-20°C 下背光保留
的产品应用:
Sulfo-Cyanine3 azide 一种用作 Click Chemistry 的水可溶染色剂叠氮化物。染色剂的吸光度和卫星发射与 Cy3- 荧光团雷同。
荧光团的屏幕亮度和光安稳性甚至高水可溶性使该微生物培养基成为了水相中各种各样的分子式双击药剂学记号的抱负确定。
选择现象可在纯自来水中做好,不必食用生物质碳助容剂。该有机染料是为标记符号刺激性的分子式如蛋白酶还会全部的生物质体而来设计。该微生物培养基是1:1混合的crystallosolvate和methanol。但不会对荧光团性能和应用有任何影响。
企业:西安市pg电子娱乐游戏app 海洋生物社会有限制的机构
功用:研究
状态下:物质/颗粒/溶剂
產地:咸阳
永久保存时光:一年
另存:要在冷藏室保存
储存水平:-20℃
舒心语音提示:全部科研开发,没能应用在人体内科学试验
相应品牌:
Cy3-Factor I标记图片血纤维材料血清
Cy3-ACS Cy3标记图片ACS膜核蛋白
Cy3-IgG Cy3标签抗体球蛋清
Cy3-TssJ Cy3符号抗原核蛋白
Cy3-Casein Cy3箭头酪蛋清 Casein
Cy3-PE Cy3符号藻红淀粉酶PE
Cy3-SpA Cy3箭头提子球菌血清Staphlococcus aureus
Cy3-AnnexinⅤ Cy3标签磷脂运用蛋白质
Cy3-GSTP1(GSTπ) Cy3标签球蛋白


pg电子娱乐游戏app
微信公众号
官方微信