透明质酸-PEG-顺铂 HA-PEG2000-CDDP Hyaluronic acid-聚乙二醇-顺铂
透明体质酸-PEG-顺铂 HA-PEG2000-CDDP Hyaluronic acid-聚乙二醇-顺铂 中文名字字称谓:透明体质酸-PEG-顺铂英文翻译公司名称:HA-PEG2000-CDDP俗称:顺铂-聚乙二醇-透明度质酸 cisplatin-PEG-Hyaluronic acid纯净度:95%+贮存要求:-20°C,阴凉,避湿外表:粉状或黏性粘液,决定于团伙量PEG氧分子量可供选择:350、550、750、1k、2k、34k、5k包裝:瓶裝/整袋融化性:互溶大普遍有机肥料容剂,如:DCM、DMF、DMSO、THF这些。在水有特好的融化性关注须知:采用固定要干,应对经常的融解和冻干地点:宝鸡产品:石家庄pg电子娱乐游戏app
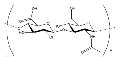
动物明亮质酸,叫作玻血尿酸,原子核式是(C14H21NO11)n,是D-顺铂醛酸及N-乙酰葡糖胺组合的双糖计量单位糖胺聚糖。山东pg电子娱乐游戏app
怪物还可展示PEG接枝呈现顺铂,顺铂-聚乙二醇-明亮质酸,Hyaluronicacid-PEG-CDDP,明亮质酸-PEG-顺铂无色质酸型式式



pg电子娱乐游戏app
微信公众号
官方微信