CDDP-Hyaluronicacid 顺铂-透明质酸 HA-PEG2000-CDDP 透明质酸-PEG-顺铂
CDDP-Hyaluronicacid 顺铂-公开的质酸 HA-PEG2000-CDDP 公开的质酸-PEG-顺铂简体中文字大全:顺铂-黑色质酸英语怎么说标题:CDDP-Hyaluronicacid俗称:通透质酸表达顺铂,HA-顺铂纯净度:95%+储存方式能力:-20°C,闭光,避湿油漆颜色:粉状或粘度液状体,在于于分子式量PEG分子式量可以:350、550、750、1k、2k、34k、5k彩盒:小瓶/包装袋充分均匀析出性:易溶大部门巧妙溶液,如:DCM、DMF、DMSO、THF等情况。在水含有极好的充分均匀析出性考虑议题:取出一定程度要粗糙,禁止頻繁的溶于和冻干注册地址:石家庄工厂:昆明pg电子娱乐游戏app
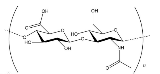
生物工程乳白色质酸,称之为玻尿酸注射高,原子式是(C14H21NO11)n,是D-顺铂醛酸及N-乙酰葡糖胺组合而成的双糖公司的糖胺聚糖。宝鸡pg电子娱乐游戏app
生物制品可以供应PEG接枝淡化顺铂,顺铂-聚乙二醇-乳白色质酸,Hyaluronicacid-PEG-CDDP,乳白色质酸-PEG-顺铂



pg电子娱乐游戏app
微信公众号
官方微信