磷脂PEG叠氮,磷脂聚乙二醇叠氮,DSPE-PEG-N3, DSPE-PEG-Azide
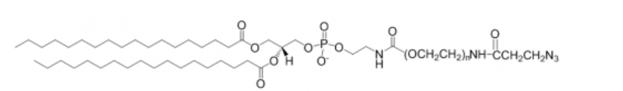
常常名号:磷脂PEG叠氮,磷脂聚乙二醇叠氮英 文:1,2-distearoyl-sn-glycero-3-phosphoethanolamine-N-[azido(polyethyleneglycol)]别 名:DSPE-PEG-N3, DSPE-PEG-Azide看:灰黑色纳米银溶液分 子 式:C132H264N5O54P溶 解 度:>10mg/mL in hot water, chloroform, DMSOPEG大分子量:2000整体的原子量:2800空间结构简式:



pg电子娱乐游戏app
微信公众号
官方微信