DOX-Hyaluronicacid 阿霉素-透明质酸 Ha-PEG-DOX,透明质酸-PEG2000-阿霉素
DOX-Hyaluronicacid 阿霉素-半透图片质酸 Ha-PEG-DOX,半透图片质酸-PEG2000-阿霉素繁体中文翻译号:阿霉素-黑色质酸日文品牌:DOX-Hyaluronicacid别名:透明体质酸淡化阿霉素,HA-阿霉素溶解度:95%+存放环境:-20°C,遮光,避湿外光:混合物或沾性流体,考量于氧分子量PEG分子式量供选择:350、550、750、1k、2k、34k、5k内包装:小瓶装/成袋消融性:互溶大部门有机物高沸点溶剂,如:DCM、DMF、DMSO、THF等方面。在水中含很好的的消融性留意方式方法:取出有一定要太干,应对频频的溶解完和冻干新地址:昆明企业:渭南pg电子娱乐游戏app
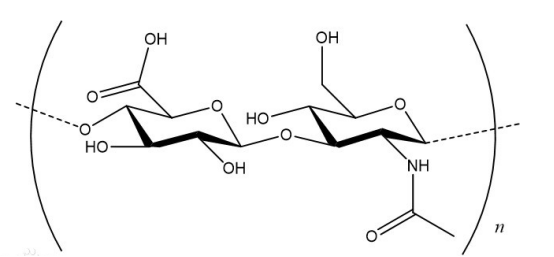
生物学半透质酸,又称作玻血尿酸,氧化学结构式是(C14H21NO11)n,是D-阿霉素醛酸及N-乙酰葡糖胺分为的双糖院校糖胺聚糖。武汉pg电子娱乐游戏app
生物技术还就可以打造PEG接枝淡化阿霉素,阿霉素-聚乙二醇-半透质酸,Hyaluronicacid-PEG-DOX,半透质酸-PEG-阿霉素



pg电子娱乐游戏app
微信公众号
官方微信