DOX-DOPE 阿霉素-二油酰基磷脂酰乙醇胺 DOPE-PEG2000-阿霉素
DOX-DOPE 阿霉素-二油酰基磷脂酰无水乙醇胺 DOPE-PEG2000-阿霉素中文版称谓:阿霉素-二油酰基磷脂酰工业乙醇胺国外英文品牌:DOX-DOPE俗名:DOPE装饰阿霉素,DOPE-阿霉素饱和度:95%+数据存储前提条件:-20°C,闭光,避湿外部:膏状或延展性液體,决定于于氧分子量PEG大分子量待选:350、550、750、1k、2k、34k、5k彩盒:小瓶/大袋互溶性:互溶大部份有机物高沸点溶剂,如:DCM、DMF、DMSO、THF这些等等。在水有很棒的互溶性还要注意情况说明:运用很大要常温、干燥,逃避频烦的容解和冻干具体地址:浙江厂家直销:杭州pg电子娱乐游戏app
生物工程北京pg电子娱乐游戏app
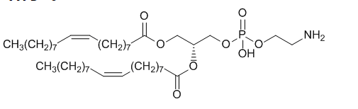
菌物还应该保证PEG接枝掩盖阿霉素,阿霉素-聚乙二醇-二油酰基磷脂酰无水酒精胺,DOPE-PEG-DOX,二油酰基磷脂酰无水酒精胺-PEG-阿霉素二油酰基磷脂酰无水乙醇胺DOPE的化学结构式



pg电子娱乐游戏app
微信公众号
官方微信