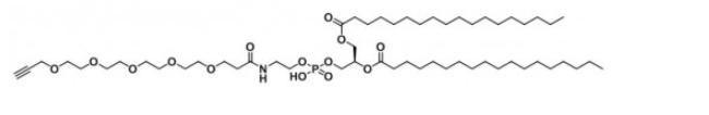
DSPE-PEG5-propargyl, 2112737-93-4,磷脂-五聚乙二醇-炔基
英文怎么说各称:DSPE-PEG5-propargyl英文版名号:磷脂-五聚乙二醇-炔基CAS NO:2112737-93-4团伙式:C55H104NO14P原子量:1034.40含 量:>95%外 观:黑色固态垃圾保管法:-20阴凉避湿设计式:DSPE-PEG5-propargyl



pg电子娱乐游戏app
微信公众号
官方微信