MTX-Hyaluronicacid 甲氨蝶呤-透明质酸 HA-PEG-MTX 透明质酸-PEG2K-甲氨蝶呤
MTX-Hyaluronicacid 甲氨蝶呤-透亮图片质酸 HA-PEG-MTX 透亮图片质酸-PEG2K-甲氨蝶呤英文版称谓:甲氨蝶呤-透明度质酸英文音标英文名称:MTX-Hyaluronicacid別称:透明色质酸绘制甲氨蝶呤,HA-甲氨蝶呤纯净度:95%+文件存储要求:-20°C,阴凉,避湿金属机身:固态垃圾或粘度液态,依赖于于原子量PEG大分子量可选装:350、550、750、1k、2k、34k、5k设计:玻璃瓶/整袋溶解性性性:溶水大的部分可挥发溶液,如:DCM、DMF、DMSO、THF等一下。在水中含非常好的溶解性性性目光法定程序:倒取必定要粗糙,尽量不要过于频繁的溶于和冻干具体位置:宝鸡制造厂:兰州pg电子娱乐游戏app
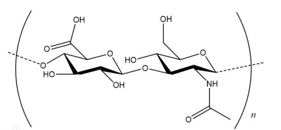
生物学无色质酸,又叫玻尿酸原液高,氧分子结构是(C14H21NO11)n,是D-甲氨蝶呤醛酸及N-乙酰葡糖胺组成了的双糖院校糖胺聚糖。宝鸡pg电子娱乐游戏app
微生物还行带来了PEG接枝呈现甲氨蝶呤,甲氨蝶呤-聚乙二醇-无色质酸,Hyaluronicacid-PEG-MTX,无色质酸-PEG-甲氨蝶呤



pg电子娱乐游戏app
微信公众号
官方微信