NOPO CAS:1397275-76-1 大环配体化合物
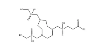
NOPO CAS 1397275-76-1英文怎么说命名:NOPO日语同义词:Propanoicacid,3-[hydroxy[[octahydro-4,7-bis[[hydroxy(hydroxymethyl)phosphinyl]methyl]-1H-1,4,7-triazonin-1-yl]methyl]phosphinyl]-CAS号:1397275-76-1团伙式:C14H32N3O10P3团伙量:495.34 设计式:



pg电子娱乐游戏app
微信公众号
官方微信