螯合剂DTPA-tetra(tBu)ester CAS 180152-83-4
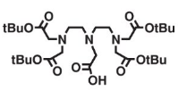
螯合剂DTPA-tetra(tBu)ester CAS 180152-83-4原子量:617.8含量≥ 94%类目:大环配体有机化合物签定具体方法:Mass, NMR解析具体方法:HPLC设计式:



pg电子娱乐游戏app
微信公众号
官方微信