CAS:479081-06-6,Fmoc-L-Lys-mono-amide-DOTA-tris(t-Bu ester)
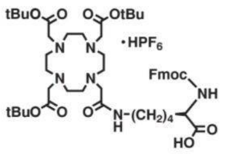
日文简称:Fmoc-L-Lys-mono-amide-DOTA-tris(t-Bu ester)催化式:C49H74N6O11·HPF6电学分类:1,4,7,10-Tetraazacyclododecane-1,4,7-tris-tert-butyl acetate-10-(N-a-Fmoc-N-e-acetamido-L-lysine)原子核量:1069.1CAS:479081-06-6纯净度:≥ 94%构造式:



pg电子娱乐游戏app
微信公众号
官方微信