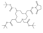
大环配体DOTA-tris(tBu)ester NHS ester,CAS:819869-77-7
通常用名 DOTA-tris(tBu)ester NHS ester 英文版名 DOTA-tris(tBu)ester NHS esterCAS号 819869-77-7 分子结构量 669.80700原子式 C32H55N5O10效果 669.39500PSA 155.54000LogP 0.52980架构式



pg电子娱乐游戏app
微信公众号
官方微信