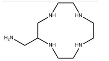
cas1226971-10-3 Methylamino-(13)aneN4 大环配体化合物
分子式量:395.09结构特征式

类:大环配体类化合物色度:99%+检验技术:Mass, NMR具体分析的方式:HPLC交期:国内自主研发:1-3天,进品:1-2周存放期:2年关于物料TRITAM CAS 1020253-67-1TRITA CAS 402955-04-8PCTA CAS 129162-88-5Mono-N-Benzyl-Cyclen CAS 112193-83-6Trans-N-Dibenzyl-Cyclen CAS 156970-79-5TriBoc-Cyclen CAS 175854-39-4Mono-N-benzyl TACN CAS 174912-95-9DiBoc TACN CAS 174138-01-3Formaldehyde-Cyclam CAS 75920-10-4厂:杭州pg电子娱乐游戏app
生物技术现代科技不足子公司存贮时刻:一年上传:速冻浪漫提醒短信:只供科技研究,没办法应用于人体组织工作